「まずは不動産売却の基礎知識を知りたい」という方は、こちらの記事をご覧ください。
不動産鑑定の費用相場は20万円~40万円
不動産鑑定士による不動産鑑定の費用相場は1件20万円~40万円ほどです。不動産鑑定費用は不動産鑑定額によってきまり、不動産鑑定額は不動産の種類や規模、立地、専有面積に応じて決まります。
目安としては、都市部の50坪以下の土地で20万円~30万円、土地+建物だと30万円~40万円です。

そもそも、不動産鑑定とはどのようなものなのでしょうか?
不動産鑑定とは、戸建て、マンションなどの建物、土地といった不動産の価値を導き出し、適正な価格を評価することをいいます。算出される価格は概算ではなく、正式な数値として公的かつ法的に強い効力を持ちます。
評価後に受け取る「不動産鑑定評価書」は、不動産の売買や不動産を担保にしてお金を借りるうえでとても重要です。
不動産鑑定には高度な専門性と、不動産だけに留まらず経済や法律に至るまで幅広い知識が必要。
そのため不動産鑑定は国家資格を保有した不動産鑑定士だけの独占業務にあたります。
不動産鑑定は不動産鑑定士が数日を費やして正確な鑑定結果を出してくれます。そのため依頼するには、業務に見合った費用の支払いが必要になると理解しておくとよいでしょう。
不動産鑑定の費用相場
不動産鑑定にかかる費用は20〜30万円が相場だと言われています。宅地や農地、戸建てやマンションなどの建物といった不動産の種別によっても異なるため、あくまで参考までに認識しておきましょう。では費用相場にはどのくらいの違いがあるのでしょうか。下記の通り、「土地のみ」「建物のみ」「土地と建物」「マンション」の4つが一般的なパターンです。
| 項目 | 費用相場 |
| 土地のみ | 約20万円~ |
| 建物のみ | 約20万円~ |
| 土地と建物 | 約25万円~ |
| マンション | 約30万円~ |
以上の4つは評価額が1500万円以下の不動産が対象の場合になります。これが5000万円以下の土地のみだと費用相場は約25万円、土地と建物だと約45万円になります。

また不動産鑑定士の作業量でも変動するケースがあります。例えば、土地だけの場合でも規模が大きければ、それだけ調査・分析にかかる手間と時間が多くなるので、費用もプラスされる仕組み。ほかにも農林・林地、証券化の対象となる不動産など利用目的で費用は異なります。
お住まいの都道府県で定められた基準が異なる場合もあるため、最終的な費用は不動産鑑定士にしっかりと確認しましょう。
調査報告書の費用相場
不動産鑑定書とは、別に調査報告書というものがあります。主な違いとして、調査報告書は主に売買の判断材料として使用され、不動産鑑定書は法的手続きや金融機関での使用を目的としています。調査報告書は不動産鑑定士が作成し、不動産鑑定書は公認の不動産鑑定士が作成します。
調査報告書は、不動産鑑定書の約15%~20%程度安く作成できます。| 項目 | 費用相場 |
| 土地のみ | 約17万円~ |
| 建物のみ | 約17万円~ |
| 土地と建物 | 約20万円~ |
| マンション | 約25万円~ |

不動産鑑定費用の料金表
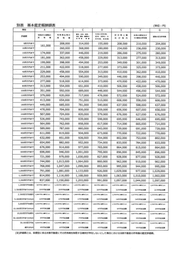
相場を決めるうえで指標とされているのが「基本鑑定報酬額表」。下記の通り、評価額と不動産の種別の2つをポイントに、細かく評価額が設定されています。
出典:国土交通省
しかし現在はそれぞれの鑑定事務所が自由に費用の設定を行っています。そのため、必ずしも「基本鑑定報酬額表」に基づいて決定されるとは限りません。作業量に応じて費用を積み上げる方法や独自の報酬額表をつくり、提示している費用の設定の仕方は鑑定事務所によってさまざまです。
不動産鑑定と混同しやすい「不動産査定」とは?
不動産の価格を知るためには「不動産鑑定」のほかに、「不動産査定」と呼ばれる方法があります。2つの特徴をしっかりと理解しておくと、保有する不動産の価値をどちらで確認すればよいのか的確な判断ができます。この章では、2つの違いと、使い分けの方法を紹介します。
無料で出来る不動産査定との違い
まずは、鑑定と査定の算出方法と用途の違いを見ていきましょう。
「不動産鑑定」は国の基準に基づき、不動産鑑定士が対象の不動産を評価する方法。徹底した調査を元に作成された「不動産鑑定評価書」は公的な証拠資料として用いられるケースが多く、不動産の価値を知るうえで最も信頼性の高い方法と言えます。高度な専門性と知識を必要とし、業務が認められているのは不動産鑑定士だけ。不動産によって異なりますが、費用は高額で、評価が出るまで10営業日以上は程度待つ必要があります。
対して「不動産査定」は、市場や類似する不動産の過去の取引価格、周辺環境の特徴を考慮し、不動産価値を算出します。主に不動産会社や仲介業者が行い、価値の証明ではなく概算の価格を知るための参考にするもの。
不動産査定は、無料で依頼できますが、算出された価格は公的な証明にはならず、参考程度として扱うことになります。結果がでるまでの期間も比較的短く、数日で結果が分かります。
有料の不動産鑑定はどんなときに必要か
「不動産鑑定」を必要とする場面としてあげられますのが、個人の不動産売買や財産相続、離婚したときの財産分与、不動産を担保にお金の借り入れをするときが一般的。交付される「不動産評価書」によって不動産の正しい価値が証明でき、公的に強い効力を発揮するのが大きなメリット。
不動産価格を知らないと後々のトラブルの原因にもなりかねません。例えば、親族間で不動産を売買するとして、極端に価格が低いと贈与税の課税対象になり、高すぎても購入した側からクレームがくる可能性も考えられます。
トラブルを未然に防ぐためにも、そのときの適正な価格を知っておくとよいでしょう。場合によっては「不動産査定」で差し支えないケースもあるので慎重に検討を。
不動産鑑定費用体系は3種類
それぞれの鑑定事務所で費用を決めるとき、3種類の費用体系のいずれかを採用するのが一般的。一部例外はありますが、原則として業界の規定や義務はないため、それぞれの鑑定事務所が自由に設定できます。下記では費用体系の概要を解説します。
- 報酬基準型
- 積み上げ型
- 定額型
3つのうち、最も多くの鑑定事務所が採用しているのが「報酬基準型」です。土地、戸建て、マンションなど不動産の種別ごとに、報酬額表に合わせて費用を設定。事前に金額が提示されるため、依頼者からしても分かりやすくて安心できる仕組みです。
次の「積み上げ型」は鑑定士の作業量によって費用が変わる体系です。作業が多くなれば、その分を上乗せしていく仕組み。主に大規模な土地であったり、調査や分析が複雑な不動産であったりする場合に用いられています。最後は「定額型」。不動産の種別や作業量にかかわらず、一律の費用で行われます。依頼者にとってはよい仕組みに思えますが、鑑定士側からすると手間が増えても費用が変わらないため、鑑定業界内ではほとんど採用されていません。不動産鑑定士は何を見て評価するのか
不動産鑑定士が行う評価は、不動産の価値を公正かつ客観的に判断するための専門的な作業です。彼らが評価を行う際に考慮する主な要素はどういった点でしょうか。解説していきます。
立地条件
不動産鑑定士は、立地条件を注意して見ています。例えば、交通の便に置いて、駅からの距離や主要道路へのアクセス、公共交通機関の利便性などが評価されます。
また、周辺環境も大切で、住宅地や商業地、工業地など、物件が位置する地域の性質や、周辺の施設が重要視されます。
さらに、地域が発展しているか、または発展の可能性があるかどうかが考慮されます。新しい商業施設の建設や公共のインフラ整備は、地域の価値を高める要因です。
物理的特性
2つ目に、物理的特性も評価の対象に入ります。
「土地の特性」例えば、面積や土地の形状(正方形、長方形、不規則な形状など)、地勢(平坦、傾斜、起伏など)が評価されます。
また、建物自体の特性も評価対象で、構造が何なのか、築年数、耐震性、設備の充実度、維持状態などがも重要な評価基準です。
法的制約
次に、不動産の区分がどの用途地域に含まれているかも大切です。住居専用地域、商業地域、工業地域など、土地の利用を制限する区分では、併せて特別なルールがある可能性が高く、売買が難しくなるため、評価が厳しく付けられる可能性もあります。
また、建築基準法を基に、建物の高さ、建ぺい率(敷地面積に対する建物面積の割合)、容積率(敷地面積に対する建物の延べ床面積の割合)などの制限をしっかり確認します。
さらに、所有権以外にも、地上権、賃貸権、抵当権などの権利が物件に関わっている場合があり、これらの権利関係が価値に影響を与えます。

市場状況
不動産市場における供給量と需要量のバランスが価格に直接影響します。そのため、同様の条件の物件が近隣でどのような価格で取引されているかを分析します。
また、金利の動向、経済成長率、雇用状況など、マクロ経済の状況も不動産価値に影響します。
収益性
物件から得られる予想賃貸収入を評価します。そして、不動産売却を進める上での管理費、修繕積立金、税金など、物件の運用にかかるコストを考慮します。物件の収益性を示す指標として、賃貸収入から運用コストを差し引いた純収益を物件価格で割った収益率が用いられます。
不動産鑑定費用を安く抑える方法
現在の不動産鑑定業界では費用が自由競争で決まるのが一般的になっています。そのためひと昔前に比べると、費用が安くなっています。
ではさらに費用を安く抑えるためには、どのようにすればよいのでしょうか。そのコツを解説していきます。
見積もりを取り、各社の費用の違いを知ろう

見積りは無料でできるので大手事務所だけでなく、中・小事務所にも目を向けてアポイントを取ってみるとよいですよ。同じ調査内容でも、金額に大きな差が生まれる可能性もあります!ちなみに見積りを依頼するときは、不動産の所在地や面積、種別などの特徴を事前に伝えておくと不動産鑑定士の作業もスムーズです。
不動産の種別によっては簡易鑑定がよいケースも
不動産の評価額を知るための「不動産鑑定」は費用が高いのがデメリット。費用次第では依頼するかどうか悩む方も多いと思いますが、そんな方に「簡易鑑定」と呼ばれる方法もあるのでご紹介します。
不動産鑑定士が行うのには変わりはありませんが、その名の通り、現地調査以外の不動産の調査・分析を簡易的に行う方法。一部の説明を簡略化しながら、評価額を示した「価格報告書」「調査報告書」「意見書」の3点を作成してもらえます。費用や日数を抑えられるメリットも
有料の「不動産鑑定」に比べると、費用を2〜3割ほど安く抑えられるうえ、早くて2〜3日と時間を短縮できるのがメリットです。
デメリットは鑑定価格の効力が落ちるという点。裁判所や税務署といった公的機関に提出しても公的証明として採用されないので注意しましょう。「公的、法的な場面では利用しない」「会社のなかだけで使用する」「個人の参考資料として持っておきたい」などの用途であれば全く問題ないので、検討してもよいかもしれません。
不動産鑑定をどのように依頼するか
いざ依頼するとなっても、「まず何をすればいいの?」と疑問に思っている方も多いと思います。
この章では、どのような手順で不動産鑑定が行われるのか、大まかな流れを解説します。依頼先によっては、下記の内容に加えて細かい手順が必要な場合があります。こちらは参考までに見てください。- 不動産鑑定事務所を探す
- 不動産鑑定の申し込みをする
- 鑑定評価
- 不動産鑑定士からの中間報告
- 鑑定評価書の交付
不動産鑑定価格の確認方法
不動産の評価が終わると鑑定評価書が作成され、依頼者に交付。この書類には徹底した調査・分析の結果、算出された鑑定評価額が記載されています。- 鑑定評価額
- 不動産の詳細から依頼の目的
- 評価額に決定した理由
- 市場の特性
- 該当地域の人口推移
- 周辺の交通状況
など膨大なデータが事細かに記載され、一つ一つに不動産鑑定士の分析が行われているのです。各項目の記載は法律で定められているため、どの不動産鑑定士でも違いはありません。根拠まで徹底的に調べ上げられているのが、公的機関の証明として強い効力を発揮する理由です。
裁判所や税務署など公的な場所で活用する機会もあるため、書類の内容を理解したうえで受け取る必要があります。内容を確認し、不明点があれば不動産鑑定士にすぐ質問しましょう。「中間報告」を受けている場合は、その内容と相異がないかの確認もお忘れなく。

不動産鑑定費用相場を知ろう
不動産の売却で「不動産の価値を知りたい」、税務署や裁判所で採用される公的な書類が欲しいときに、不動産鑑定が必要なケースも。費用は決して安くはありませんが、徹底した調査・分析で不動産の価値を正しく導き出してくれます。
今回解説した費用の相場はあくまで参考までにご覧ください。まずは鑑定事務所へ問い合わせて見積もりを取り、納得のいく形で依頼するのが重要です。
あなたの不動産、査定価格はいくら?
査定価格はいくら?
